Описание работы калькулятора
Данный калькулятор предназначен для расчета возможной суммы кредита. Он работает на основании формулы аннуитетного платежа, используется обратная формула, которая выражает сумму кредита из ежемесячного платежа.
Что нужно для расчета?
Для расчета нужно ввести предполагаемый ежемесячный платеж, выбрать срок и примерную ставку.
Если вы хотите получить возможные варианты расчета — укажите диапазон ставок или диапазон периодов, для которых нужно осуществить расчет.
Калькулятор посчитает возможные варианты для каждой ставки из диапазона с шагом 1%.
Аналогичная возможность существует для расчета при диапазоне сроков.
Самые выгодные предложения по кредитам
Если вы планируете взять кредит, рекомендуем воспользоваться предложениями ниже.
- Сумма до 1 млн. руб, ставка от 0 % в год в рамках акции
- Для получения нужно 2 документа
- Нужен стационарный рабочий или домашний телефон
- Срок кредита до 60 мес.
- Сумма кредита от 10 тыс. до 1 млн. рублей
- Низкая ставка от 7.9 % годовых
- Срок кредита до 6 лет.
- Ваш возраст от 22 до 64 лет.
Как рассчитать процентную ставку по кредиту зная ежемесячный платеж
Чтобы рассчитать ставку по платежу, нужно знать размер платежа, сумму кредита и срок и размер ежемесячного платежа X. Без этих данных неизвестное значение i из формулы не выразить. Напоминаю, что формула аннуитета имеет следующий вид.

Где i — ставка по кредиту, n — срок в месяцах, S — сумма кредита. Однако, выразить из формулы i достаточно трудно.
Метод 1. Расчет по графику платежей
Однако ставку можно найти по графику платежей, для примера — по первому платежу.
Для этого метода нам не нужен срок кредита, а просто нужна сумма кредита и точные даты выдачи и первого платежа.
Для примера, рассмотрим такой кредит:
| Параметр | Значение |
|---|---|
| Сумма кредита | 999202 |
| Ежемесячный платеж | 14625,94 рублей |
| Срок | 10 лет или 120 мес. |
| Дата выдачи | 06.02.2014 года |
| Дата первого платежа | 06.03.2014 года |
Данный кредит имеет вот такой график:

Для определения ставки нам нужно понять, какую сумму процентов мы выплатили в составе первого платежа:
Это видно по графику, эта сумма составляет 9581,39.
Мы имеем формулу для расчета этого платежа:
Из этой формулы можно выразить ставку
Подставим данные для нашего примера:
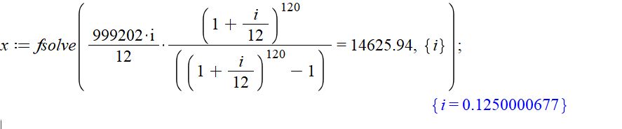
Метод 2. По основным параметрам кредита:
Если графика платежей нет, то придется решать уравнение, подставив предварительно известные данные в формулу аннуитета. Данное уравнение можно решить численно и обычных знаний математики тут может не хватить.
C использованием системы компьютерной математики Mapple я решил уравнение, подставив известные переменные. Для решения был использован численный метод.
Обычным способом переменную i не выразить

Но в целом, любой человек может использовать численные системы для решения уравнений для нахождения ставки по кредиту по заранее известным другим параметрам.
Используемые источники
При разработке калькулятора использовались следующие источники информации
- Брошюра Гущин Д.Д. Встречи с финансовой математикой, Санкт-Петербург 2016 год.
- Статья: Аннуитет. Источник — Википедия
При ипотечном кредите рассчитывается один единственный график, называется он график платежей или график погашения. О каком другом графике здесь может идти речь?
Данный калькулятор считает сумму кредита по сумме ежемесячного платежа. На входе ежемесячный платёж на выходе возможная сумма. Если нужен график — вводите данные и считайте кредит на главной странице
Не нашла, где посмотреть график.
День добрый. График чего именно нужен?